样本与标准的匹配程度如何?即使两种颜色在一个人看来相同,使用颜色测量仪器进行评估时也可能会发现细微的差异。如果样品的颜色与标准不符,客户满意度就会受到影响,返工量和成本也会增加。因此,在生产过程中尽早识别样品与标准之间的颜色差异非常重要。色差可以定义为样品颜色与标准颜色的数值比较。它表示绝对颜色坐标....
即使两种颜色在一个人看来相同,使用颜色测量仪器进行评估时也可能会发现细微的差异。如果样品的颜色与标准不符,客户满意度就会受到影响,返工量和成本也会增加。因此,在生产过程中尽早识别样品与标准之间的颜色差异非常重要。

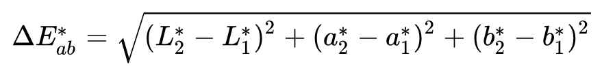
色差可以定义为样品颜色与标准颜色的数值比较。它表示绝对颜色坐标的差异,称为 Delta (Δ)。这些公式计算两种颜色之间的差异,以识别不一致之处,并帮助用户更有效地控制其产品的颜色。
首先,应测量样品颜色和标准颜色,并保存每次测量的值。使用所得的比色值计算样品和标准之间的色差。
L*a*b* 色彩空间由国际照明委员会 (CIE) 定义,其模型基于色彩对立理论,该理论认为两种颜色不能同时为红色和绿色,也不能同时为黄色和蓝色。如下所示,L* 表示亮度,a* 为红色/绿色坐标,b* 为黄色/蓝色坐标。L* (ΔL*)、a* (Δa*) 和 b* (Δb*) 的 Delta 可能为正 (+) 或负 (-)。但总差值 Delta E (ΔE*) 始终为正。
ΔL* (L* 样品减去 L* 标准) = 明暗度差异 (+ = 较亮, – = 较暗)
Δa* (a* 样品减去 a* 标准) = 红色和绿色差异 (+ = 较红, – = 较绿)
Δb* (b* 样品减去 b* 标准) = 黄色和蓝色差异 (+ = 较黄, – = 较蓝)

让我们比较一下 Apple 1 和 Apple 2(见图 1)。

图 1
通过查看图 1 中每个苹果的 L*a*b* 值,我们可以客观地判断苹果的颜色不匹配。这些值告诉我们,苹果 2(样品)的颜色比苹果 1(标准)更浅、红色更少、黄色更多。如果我们将 ΔL*=+4.03、Δa*=-3.05 和 Δb*=+1.04 的值代入色差方程,可以确定两个苹果之间的总色差为 5.16。
5.16 = [4.03^2 + -3.05^2 + 1.04^2] ^1/2
L*C*h 颜色空间与L*a*b* 类似,但它使用圆柱坐标而不是矩形坐标来描述颜色。在这个颜色空间中,L* 表示亮度,C* 表示色度,h 表示色调角。色度和色调是根据 L*a*b* 中的 a* 和 b* 坐标计算得出的。亮度 (ΔL*)、色度 (ΔC*) 和色调 (ΔH*) 的增量可能是正数 (+) 或负数 (-)。这些表示为:
ΔL* (L* 样品减去 L* 标准) = 明暗度差异 (+ = 较亮, – = 较暗)
ΔC* (C* 样品减去 C* 标准) = 色度差异 (+ = 较亮, – = 较暗)
ΔH* (H* 样品减去 H* 标准) = 色调差异
让我们比较一下 Apple 1 和 Apple 2(见图 2)。

图 2
查看图 2 中每个苹果的 L*C*h 值,我们可以客观地确定苹果的颜色不匹配。与 L*a*b* 值一样,这些值告诉我们,苹果 2(样品)的外观比苹果 1(标准)更浅、更暗。正 ΔH* 值 +1.92 表示苹果 2 在 L*C*h 颜色空间中逆时针落在苹果 1 的下方。这告诉我们,苹果 2 的红色比苹果 1 的红色要少。
色彩测量仪器,例如比色计和分光光度计,可以检测出人眼无法辨别的差异,然后立即以数字形式显示这些差异。使用 L*a*b* 或 L*C*h 值识别色差后,应使用公差限度确定样品是否可接受。
上一页 : 如何测肤色?肤色宝查找皮肤色号
下一页 : CIELAB颜色空间
Copyright © 2025 广州保来发仪器有限公司 版权所有 粤ICP备2022072934号
  xml地图